MBA招生

yl23411集团2025年工商管理专业(MBA)调剂考生复试名单公示

来源: 时间:2025-04-08 作者: 编辑: 点击:

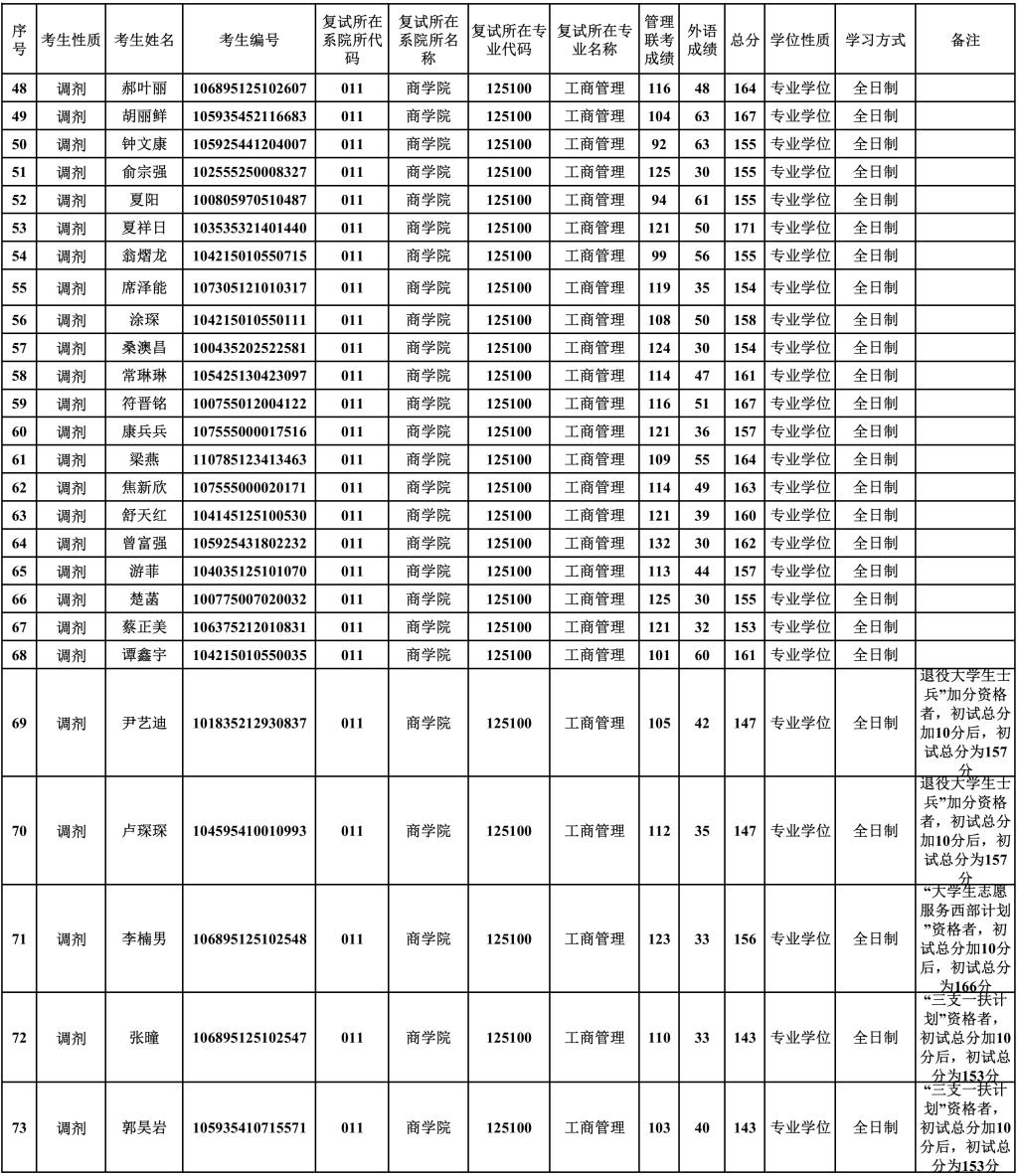
MBA全日制调剂考生复试名单(按考生姓氏笔画排序)

662DF

MBA非全日制调剂考生复试名单(按考生姓氏笔画排序)


(一审:李珺;二审:吕卉;三审:李雷)

屏风校区

地址:桂林市七星区建干路12号

邮编:541004    

电话:0773-5892982

邮箱:sxy@glut.edu.com 

雁山校区

版权所有:中国·yl23411(永利集团)官方网站-Officialwebsite

邮编:541006    

电话:0773-3698150

      


Baidu
sogou